von Black90 » Mo, 22.11.2010 21:11
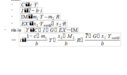
Wenn ich im swriter erstellte Dokumente auf einen anderen PC übertrage, und dort weiter bearbeiten will, tritt das Problem auf, dass sämtliche mit dem Formeleditor erstellte Formeln von "seltsamen Zeichen" durchsetzt sind - woran kann das liegen?
Ich hab auf beiden Rechnern die neuesten Version drauf.
- Dateianhänge
-

- openoffce.png (7.74 KiB) 282 mal betrachtet
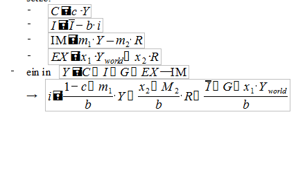
Wenn ich im swriter erstellte Dokumente auf einen anderen PC übertrage, und dort weiter bearbeiten will, tritt das Problem auf, dass sämtliche mit dem Formeleditor erstellte Formeln von "seltsamen Zeichen" durchsetzt sind - woran kann das liegen?
Ich hab auf beiden Rechnern die neuesten Version drauf.